• Предмет: Алгебра
  • Автор: ankakundas
  • Вопрос задан 10 лет назад

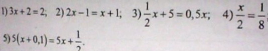
Укажите номер уравнения, которое не имеет корней (с решением пожалуйста)

Приложения:

Ответа на этот вопрос пока нет. Попробуйте найти его через форму поиска.

Вас заинтересует