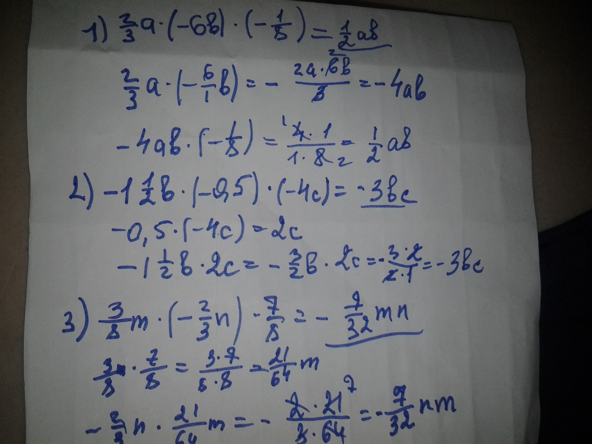
ребят сможите помочь? вот примеры решите плиз( ( -это значит дробь(деление) 1)23а*(-6b)*(-18)= 2)(-1-одна целая 12b)*(-0.5)*(-4с)= 3)38m*(-23n)*78= РЕБЯТ ПЛИЗЗЗЗ ОЧНЕЕЕНЬ НАДО(
Ответы
Ответ дал:
0
Ответ))))))))))))))))))))
Приложения:

Ответ дал:
0
спс
Вас заинтересует
2 года назад
2 года назад
7 лет назад
7 лет назад
10 лет назад
10 лет назад
10 лет назад