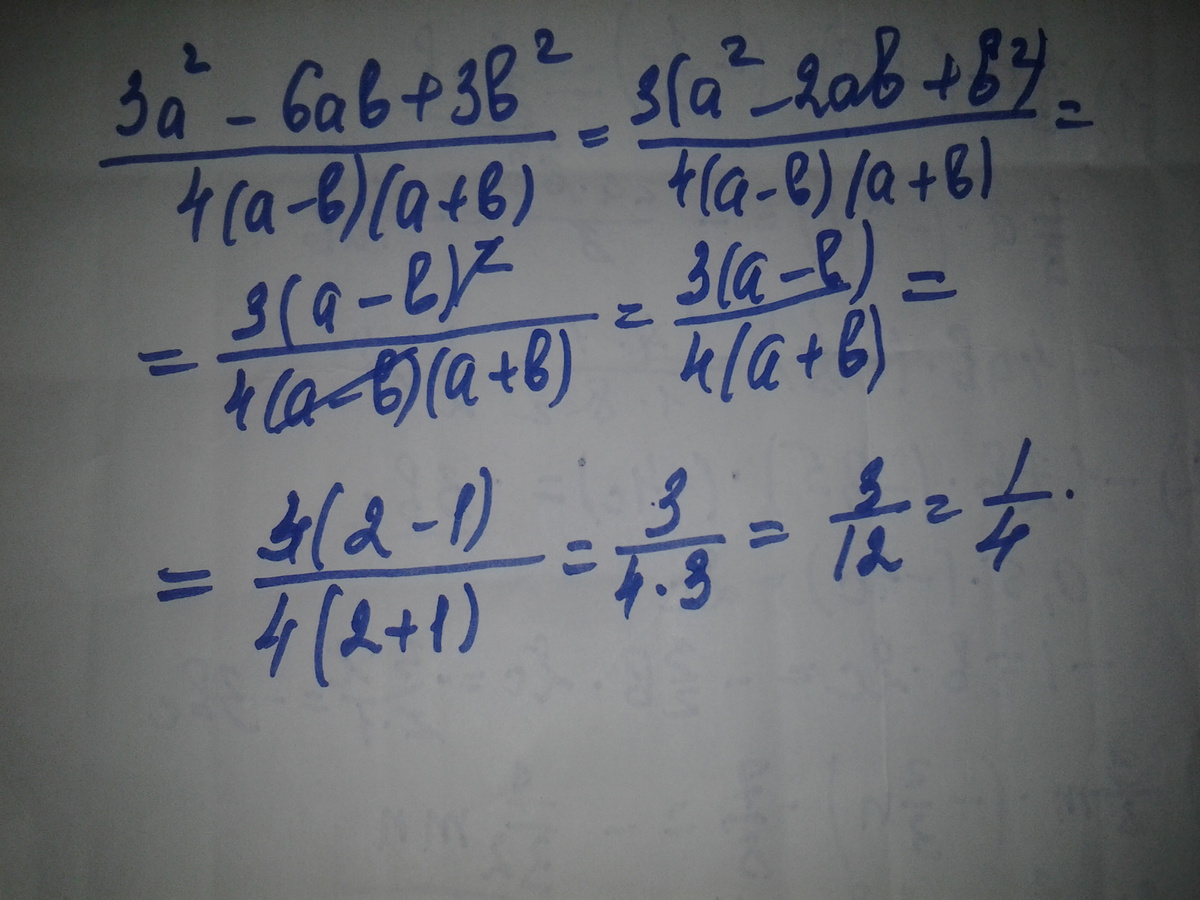
Найдите значение алгебраической дроби, предварительно сократив её: 3a^2-6ab+3b^2 /черта подчеркивания дроби/ 4(a-b)(a+b) = . При a=2, b=1. Помогите очень нужно) Заранее спасибо!
Ответы
Ответ дал:
0
Ответ.......................
Приложения:

Ответ дал:
0
Спасибо
Ответ дал:
0
Но странно в ответе написано 0,25 , но все ровно спасибо
Ответ дал:
0
если 1/4перевести в десятичную дробь, то будет 0,25. я просто не перевела, незнала, сто так надо:-)
Ответ дал:
0
Хорошо спасибо!))
Вас заинтересует
2 года назад
2 года назад
7 лет назад
9 лет назад
9 лет назад
10 лет назад