Вычислите:

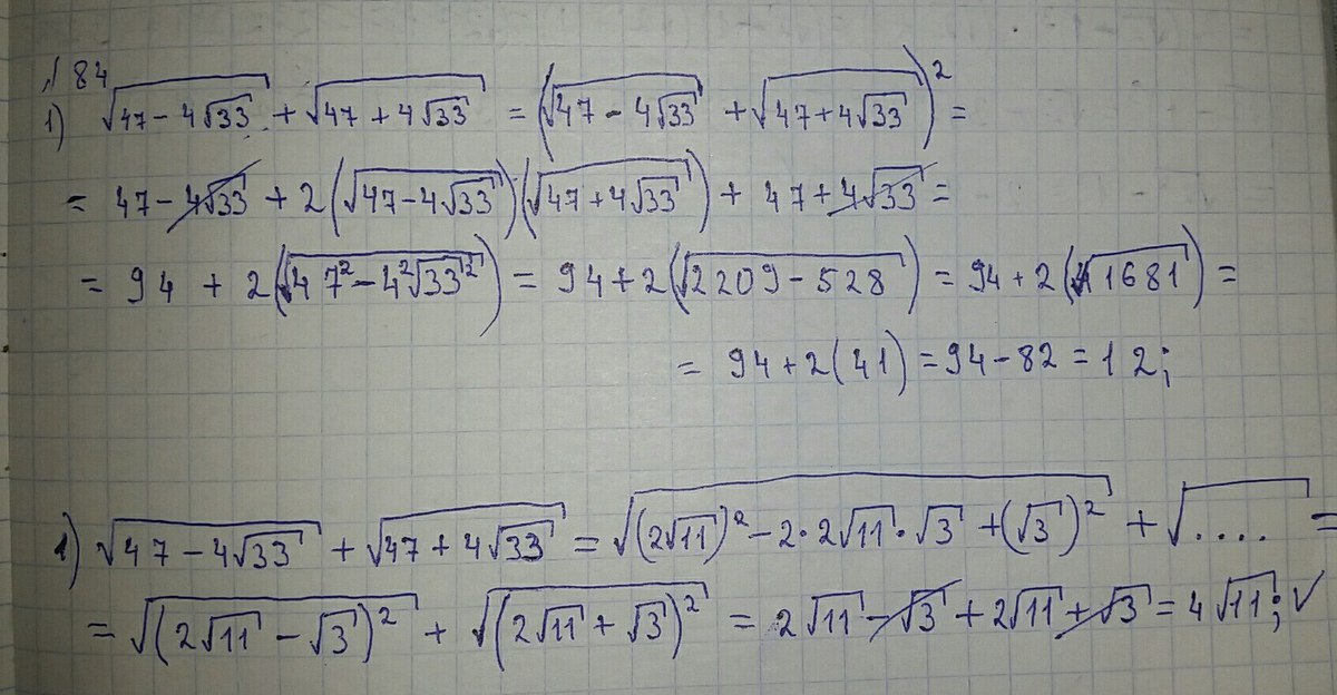
Решил выделением квадрата в подкоренном выражении, и получил правильный ответ, который равен
.
А решая возведением в квадрат всего выражения получил в ответе 12. Разве так нельзя? Добавил снимок решений первым и вторым способом.
Другой пример:
![sqrt[3]{5sqrt2-7}*sqrt{3+2sqrt2} sqrt[3]{5sqrt2-7}*sqrt{3+2sqrt2}](https://tex.z-dn.net/?f=sqrt%5B3%5D%7B5sqrt2-7%7D%2Asqrt%7B3%2B2sqrt2%7D)
Выделил квадрат под корнем второго множителя, и это же выражение оказалось под корнем первого множителя, но в кубе. Т.е. вот:
![sqrt{3+2sqrt2}=sqrt{(sqrt2)^2+2sqrt2+1}=sqrt{(sqrt2+1)^2}=sqrt2+1;\sqrt[3]{(sqrt2-1)^3}=sqrt[3]{(sqrt2)^3-3(sqrt2)^2+3sqrt2-1}=sqrt[3]{5sqrt2-7};\<br />
sqrt[3]{5sqrt2-7}*sqrt{3+2sqrt2}=(sqrt2-1)(sqrt2+1)=2-1=1 sqrt{3+2sqrt2}=sqrt{(sqrt2)^2+2sqrt2+1}=sqrt{(sqrt2+1)^2}=sqrt2+1;\sqrt[3]{(sqrt2-1)^3}=sqrt[3]{(sqrt2)^3-3(sqrt2)^2+3sqrt2-1}=sqrt[3]{5sqrt2-7};\<br />
sqrt[3]{5sqrt2-7}*sqrt{3+2sqrt2}=(sqrt2-1)(sqrt2+1)=2-1=1](https://tex.z-dn.net/?f=sqrt%7B3%2B2sqrt2%7D%3Dsqrt%7B%28sqrt2%29%5E2%2B2sqrt2%2B1%7D%3Dsqrt%7B%28sqrt2%2B1%29%5E2%7D%3Dsqrt2%2B1%3B%5Csqrt%5B3%5D%7B%28sqrt2-1%29%5E3%7D%3Dsqrt%5B3%5D%7B%28sqrt2%29%5E3-3%28sqrt2%29%5E2%2B3sqrt2-1%7D%3Dsqrt%5B3%5D%7B5sqrt2-7%7D%3B%5C%26lt%3Bbr+%2F%26gt%3B%0Asqrt%5B3%5D%7B5sqrt2-7%7D%2Asqrt%7B3%2B2sqrt2%7D%3D%28sqrt2-1%29%28sqrt2%2B1%29%3D2-1%3D1)
Скорее мне больше повезло с этим примером, т.к. второй множитель помог. А вообще есть ли лучший способ выделить квадрат или куб, т.е. как их "увидеть"? ...даже не знаю как правильнее изложить свой вопрос, надеюсь поймете.
Прошу модераторов НЕ удалять сразу. Я возможно получу объяснения/ответы в личные сообщения, тогда и напишу вам, что можете удалить, в случае чего.
Приложения:
Ответы
Ответ дал:
0
У вас ошибка в последней строчке 1 способа
94+2*41=94-82=12 неверно
94+2*41=94+82=176
Так как возводили выражение в квадрат,то теперь обратное действие извлечение корня из 176
√176=4√11
Ответы получаются одинаковые.
Выбирают тот ,что удобнее и требует меньше вычислений.В данном случае по моему мнению это 1.
А вот во 2 примере удобнее выделение,чем возведение в 6 степень.
94+2*41=94-82=12 неверно
94+2*41=94+82=176
Так как возводили выражение в квадрат,то теперь обратное действие извлечение корня из 176
√176=4√11
Ответы получаются одинаковые.
Выбирают тот ,что удобнее и требует меньше вычислений.В данном случае по моему мнению это 1.
А вот во 2 примере удобнее выделение,чем возведение в 6 степень.
Ответ дал:
0
ох, с чего же я плюс поменял на минус! нелепую ошибку допустил)
Ответ дал:
0
если выделением квадрата или куба, то как их "увидеть"? Вот во втором примере без второго множителя я бы долго голову ломал над действием выделить куб подкоренного выражения третьей степени (5√-7)
Ответ дал:
0
(5√2-7)
Вас заинтересует
2 года назад
2 года назад
8 лет назад
10 лет назад
10 лет назад
10 лет назад