Ответы
Ответ дал:
0
Решение:
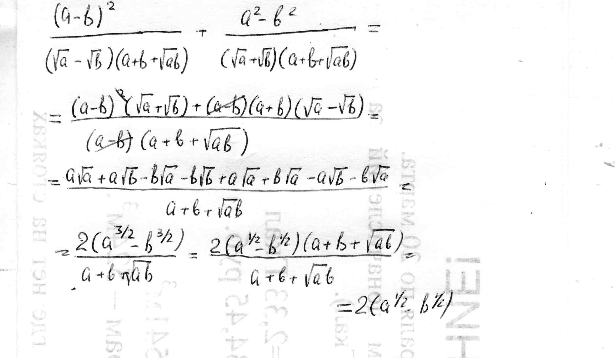
((a-b)^2(sqrt(a+sqrt(b)+(a-b)(a+b)(sqrt(a)-sqrt(b))/((a-b)(a+b+sqrt(ab))=
=((a-b)(sqrt(a)+sqrt(b))+(a+b)(sqrt(a)-sqrt(b))/(a+b+sqrt(ab))=
=2(a^(3/2)-b^(3/2))/(a+b+sqrt(ab))=2(sqrt(a)-sqrt(b)).
Ответ дал:
0
ответ во вложении...............................
Приложения:

Вас заинтересует
2 года назад
8 лет назад
8 лет назад
10 лет назад
10 лет назад
10 лет назад