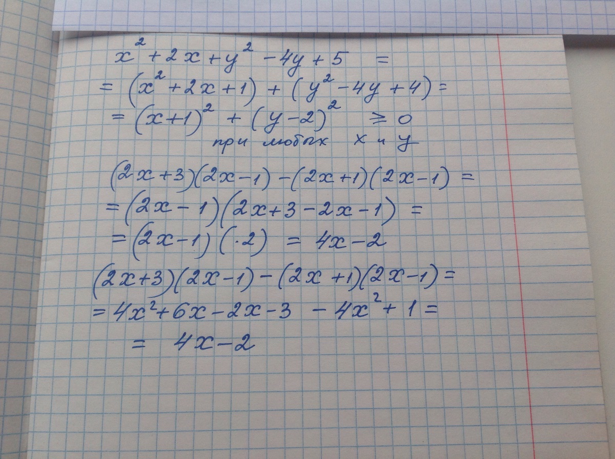
1)Упростить выражение:
А) (2х+3)(2х-1)-(2х+1)(2х-1)
2)Доказать, что при любых значениях переменных многочлен принимает неотрицательные значения:
х^2+2х+у^2-4у+5
Ответы
Ответ дал:
0
Решение смотри в приложении
Приложения:

Вас заинтересует
2 года назад
7 лет назад
7 лет назад
9 лет назад
9 лет назад
10 лет назад
10 лет назад