• Предмет: Алгебра
  • Автор: Houter
  • Вопрос задан 10 лет назад

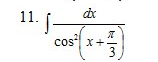
найти интеграл..............................

Приложения:

Ответы

Ответ дал: fadarm
0
ответ на задание: tg(x+π/3)+c                                                                                
Вас заинтересует