Ответы
Ответ дал:
0
Принцип решения: будем возводить обе части уравнений в квадрат,т.к.
обе части неотрицательны.
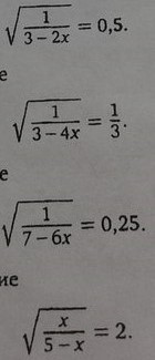
1) 1/(3-2x)= 1/4 ОДЗ: x <1,5
3-2x=4
-2x=4-3
-2x=1
x=-1/2
2)1/(3-4x)=1/9 ОДЗ: x<3/4
3-4x=9
-4x=9-3
-4x=6
x=-1,5
3)1/(7-6x)=1/16 ОДЗ: x<7/6
7-6x=16
-6x=16-7
-6x=9
x=-1,5
4)x/(5-x)=4 ОДЗ: x e [0;5)
x=4(5-x)
x=20-4x
x+4x=20
5x=20
x=4
обе части неотрицательны.
1) 1/(3-2x)= 1/4 ОДЗ: x <1,5
3-2x=4
-2x=4-3
-2x=1
x=-1/2
2)1/(3-4x)=1/9 ОДЗ: x<3/4
3-4x=9
-4x=9-3
-4x=6
x=-1,5
3)1/(7-6x)=1/16 ОДЗ: x<7/6
7-6x=16
-6x=16-7
-6x=9
x=-1,5
4)x/(5-x)=4 ОДЗ: x e [0;5)
x=4(5-x)
x=20-4x
x+4x=20
5x=20
x=4
Вас заинтересует
3 года назад
3 года назад
8 лет назад
8 лет назад
10 лет назад
10 лет назад
10 лет назад