• Предмет: Математика
  • Автор: vdgwhgwhw
  • Вопрос задан 11 лет назад

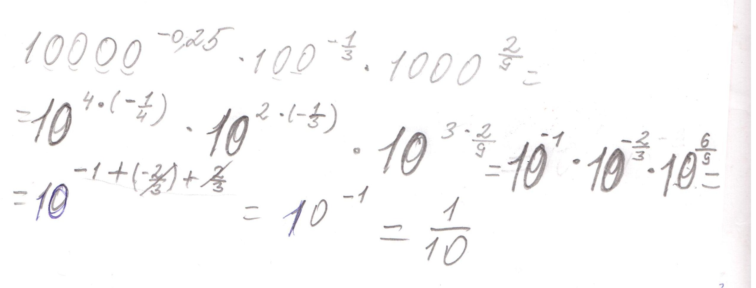
ПОМОГИТЕ!!!!!!!!!!!!!!!!!!!!!!!!!!!!!!!!!!!!!!!!!!!!!!!!!!!!!!!!!!!!!!!!!!!!!!!!!!!!!!!!!!!!!!!!!!!!!!!!!!!!!!!!!!!!!!!!!!!!!!10000^{-0.25}cdot100^{-frac{1}{3}}cdot1000^{frac{2}{9}}

Ответы

Ответ дал: love67
0

=    =10⁻¹=1/10          

смотри вложение

Приложения:
Ответ дал: shmatov1994
0

10000^{-0.25}*100^{-1/3}*1000^{2/9}=10^{4(-1/4)}*10^{2(-1/3)}*10^{3(2/9)}=10^{-1}*10^{-2/3}*10^{2/3}=10^{-1-2/3+2/3}=10^{-1}=1/10=0.1

Приложения:
Вас заинтересует