• Предмет: Математика
  • Автор: tto1309
  • Вопрос задан 10 лет назад

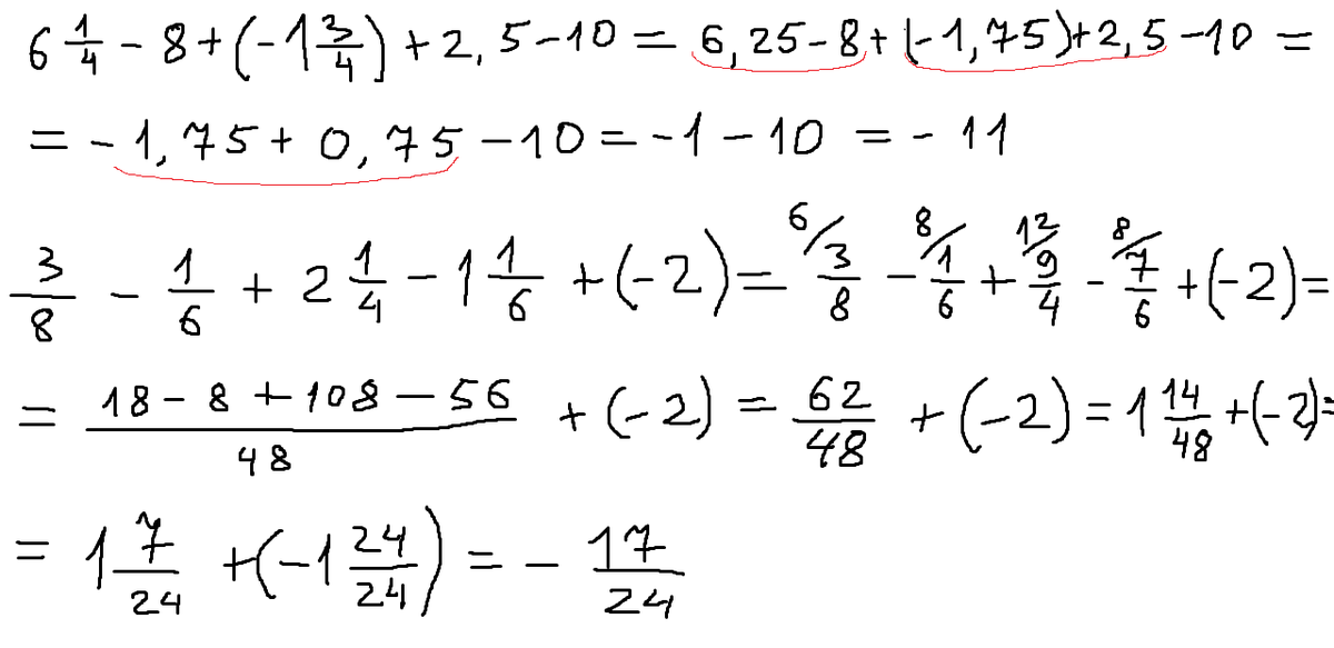
6 1/4-8+(-1 3/4)+2,5-10 и 3/8-1/6+2 1/4-1 1/6+(-2) Помогите решить с объяснением. 6 1/4-это 6 целых 1/4 и т.д. с остальными такими числами.Пожалуйста!!!!Очень нужно!!!!

Ответы

Ответ дал: kristina00
0
решение на фото)))))))))))
Приложения:
Вас заинтересует