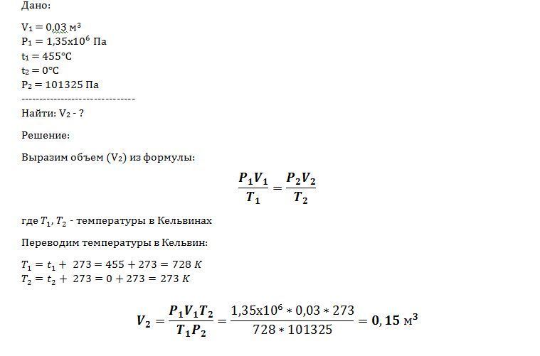
В баллоне вместимостью 0,03м в кубе находится газ под давлением 1,35умножено на 10 в 6 степени Па при температуре 455 градусов цельсия. Какой объем занимал бы этот газ при нормальных условиях(t=0 градусов под цельсия, p=101325 Па)?
Ответы
Ответ дал:
0
Решение для данной задачи прикреплено:
Приложения:
Вас заинтересует
3 года назад
8 лет назад
8 лет назад
11 лет назад
11 лет назад
11 лет назад
11 лет назад