Укажите область определения функции.Помогите решить пожалуйста(если будут вопросы по поводу самого примера задавайте)
Приложения:
Ответы
Ответ дал:
0
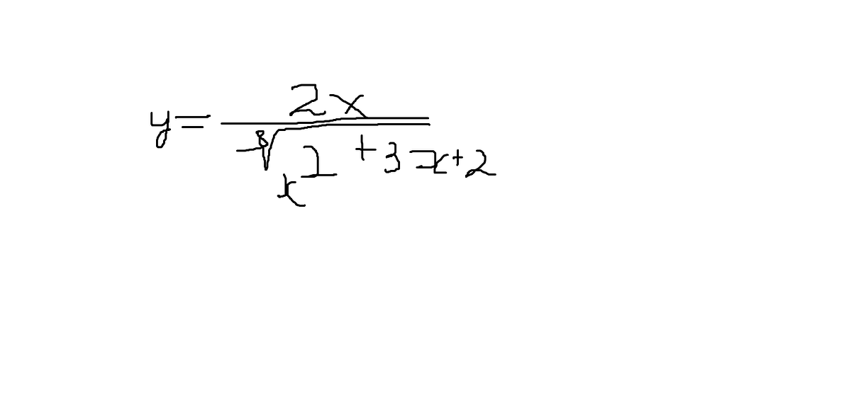
Во первых нельзя допустить деления на ноль:
Поэтому найдем корни подкоренного уравнения:



Поэтому сразу пишем:

Так как данный корень является 8 степенью. То нельзя так же допустить что бы корень был из отрицательного числа.
Так как мы уже нашли корни уравнения. То запишем эти числа на числовой прямой, тем самым увидим что есть 3 интервала, теперь вообщем их знаки:



Значит:

Отсюда следующее ОДЗ:

ОДЗ тоже самое как и область определения.

Поэтому найдем корни подкоренного уравнения:
Поэтому сразу пишем:
Так как данный корень является 8 степенью. То нельзя так же допустить что бы корень был из отрицательного числа.
Так как мы уже нашли корни уравнения. То запишем эти числа на числовой прямой, тем самым увидим что есть 3 интервала, теперь вообщем их знаки:
Значит:
Отсюда следующее ОДЗ:
ОДЗ тоже самое как и область определения.
Вас заинтересует
2 года назад
8 лет назад
8 лет назад
10 лет назад
10 лет назад
10 лет назад
10 лет назад