• Предмет: Физика
  • Автор: JulkaKovaleva1997
  • Вопрос задан 11 лет назад

С физикой помогите, ребят ;)
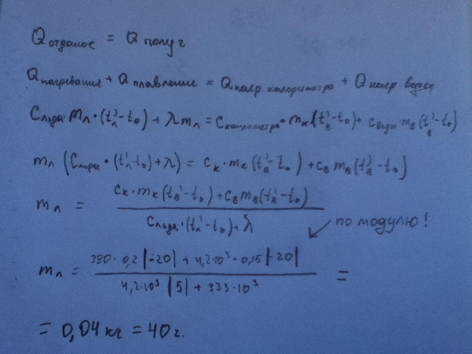
В медный стакан калориметра массой 200 г, содержащий 150 г воды, опустили кусок льда, имевший температуру 0 °С. Начальная температура калориметра с водой 25 °С. В момент времени, когда весь лед растаял, температура воды и калориметра стала равной 5 °С. Определите массу льда. Удельная теплоемкость меди 390 Дж/кг ∙ °С, удельная теплоемкость воды 4,2 к Дж/кг ∙ °С, удельная теплота плавления льда 333 кДж/кг. Ответ запишите в граммах.

Ответы

Ответ дал: Pachopik
0

Мне так проще...всё написано в фото

Приложения:
Вас заинтересует