Ответы
Ответ дал:
0
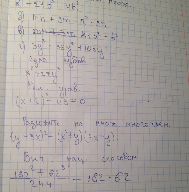
1. a) = -7b²(3b -2)
b) m(n+3)-n(n+3)=(n+3)(m-n)
в) = (9a -b)(9a +b)
г) 3y(y² -12y +36)=3y(y -6)²
2. 27=3^3
x^6+3^3*y^3=(x²+3y)(x^4- 3x²y+9y²)
3. (x +2)² -49 =0
x² +4x +4 -49=0
x² +4x -45 =0
D=16 +180=196=14²
x1=(-4-14)/2= -9
x2=(-4+14)/2= 5
4. 3x-y= -(y-3x)
(y-3x)² -(x²+y)(y-3x) =
=(y -3x)(y -3x -x² -y) =
= -x(y -3x)(3 +x)
b) m(n+3)-n(n+3)=(n+3)(m-n)
в) = (9a -b)(9a +b)
г) 3y(y² -12y +36)=3y(y -6)²
2. 27=3^3
x^6+3^3*y^3=(x²+3y)(x^4- 3x²y+9y²)
3. (x +2)² -49 =0
x² +4x +4 -49=0
x² +4x -45 =0
D=16 +180=196=14²
x1=(-4-14)/2= -9
x2=(-4+14)/2= 5
4. 3x-y= -(y-3x)
(y-3x)² -(x²+y)(y-3x) =
=(y -3x)(y -3x -x² -y) =
= -x(y -3x)(3 +x)
Вас заинтересует
3 года назад
8 лет назад
8 лет назад
10 лет назад
10 лет назад
10 лет назад