• Предмет: Алгебра
  • Автор: kivinka
  • Вопрос задан 11 лет назад

 1. Найдите значение выражения:

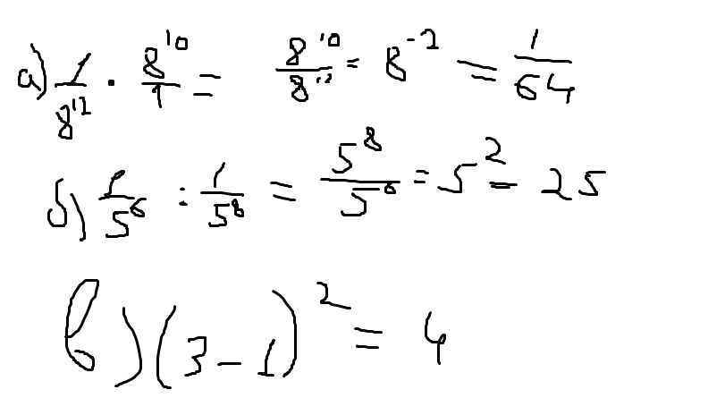
а) 8^–12*8^10;

б) 5^–6 : 5^–8; в) (3–1)^2.

2. Упростите выражение:

а) 4,8a^8b^–12 2,5a ^–7b^15;

б) .(2x^53y^-4)^-2*36x^12y^-2

3. Представьте в стандартном виде число:

а) 670 000;

б) 0,00047;

в) 625*10^–3;

г) 0,051*10^6.

4. Найдите приближенное значение разности а и b, если а= 6,381, b= 2,4.

5. Найдите приближенное значение произведения х и у, если х=1,85*10^–4,

у= 3,2* 10^7.

Срочненько!) Огрооооомнейшеее спасибо :)

Задания какие знаете как делать, огромное, хотя бы что ::))))

 

 

Ответы

Ответ дал: Egorka24
0

Извини только первое))) остальные не знаю куда вместить))

Приложения:
Ответ дал: iren3009
0

3,    670000=6,7*10⁵

0,00047=4,7*10⁻⁴

4,    6,381-2,4=3,981

Приложения:
Вас заинтересует