• Предмет: Математика
  • Автор: Felinooper1
  • Вопрос задан 10 лет назад

ПОМОГИТЕ РЕШИТЬ
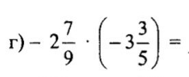
Все на картинке

Приложения:

Ответы

Ответ дал: jekadva
0
=-25/9*(-18/5)=-5/1*(-2/1)=10
Вас заинтересует