Ответы
Ответ дал:
0
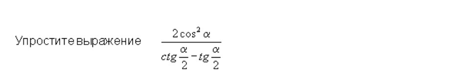
все на фото)))))))))))))
Приложения:

Вас заинтересует
2 года назад
7 лет назад
10 лет назад
10 лет назад
10 лет назад