Ответы
Ответ дал:
1
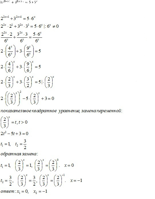
решение во вложении------------------------
Приложения:

Вас заинтересует
1 год назад
2 года назад
2 года назад
7 лет назад
7 лет назад
8 лет назад
8 лет назад