• Предмет: Математика
  • Автор: Аноним
  • Вопрос задан 2 года назад

решите пожалуйста очень прошу

Приложения:

Ответы

Ответ дал: FNRV
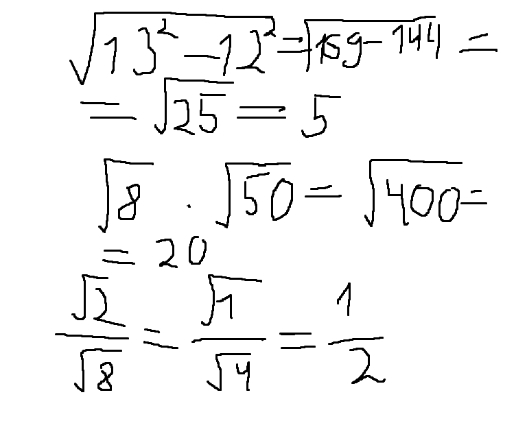
1
Надеюсь видно, вот в пеинте нарисовал)
Приложения:

Аноним: Большое спасибо у нас экзамены в 7-8 апреля ☺
Аноним: можеш еще с последним помочь
Вас заинтересует