Интеграл dx/(5cos(x)+3) Помогите пожалуйста с решением. Во влажениях есть 3 решения в помощь. Но я в них не уверена. Ответ станный получается в двух из них. пример 1ого курса, 100% правильно написан.



Ответы
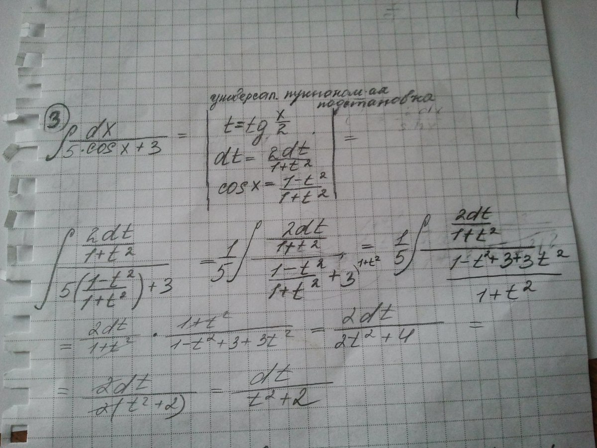
в 3 вложении решение правильное,
в 1 ошибка при приведении к общему знаменателю (вынесли 1/5 не правильно)
2 вроде тоже правильно,
если в 3 "-" внести под логарифм, то отвенты 2 и 3 совпадут
я же уже решал вчера это...
http://znanija.com/task/1784197
Пояснение насчет подстановок:
По формуле двойного угла:
Теперь загоняем все в интеграл
Далее вместо t подставляем тангенс половинного угла (из подстановки) и получаем окончательный ответ.
PS Ответ какой-то не очень красивый... если в условии поменять 3 и 5 местами, то ответ будет намного красивее, т.к. вместо логарифма появится arctg, который очень кстати будет для подстановки ;)
Второй и третий варианты правильные... первый (как и вчера) с ошибкой ;)