• Предмет: Математика
  • Автор: spanish
  • Вопрос задан 11 лет назад

Русский:

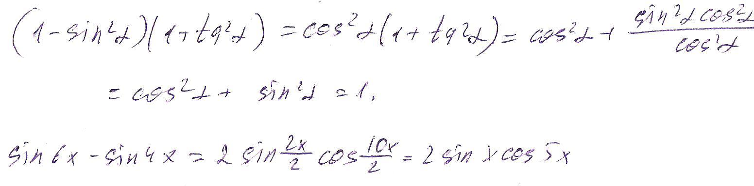
Тригонометрические функции. Помогите упростить выражения (2), во вложениях.

Українська:

Тригонометричні функції. Допоможіть спростити вирази(2), у вкладеннях.

Приложения:

Ответы

Ответ дал: Artem112
0

надеюсь будет понятно....

Приложения:
Ответ дал: Ellenochka
0

а вот со второй "хорошо" не получается (((

Приложения:
Вас заинтересует