Ответы
Ответ дал:
1
Все на фото) Удачи))))))))))
Приложения:
Ответ дал:
1
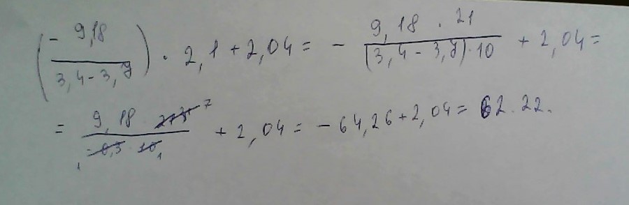
( -9,18 / 3,4 - 3,7 ) * 2,1 + 2,04 = -11,4
1) -9,18 / 3,4 = -2,7
2) -2,7 - 3,7 = -( 2.7 + 3.7 ) = -6,4
3) -6,4 * 2,1 = -13,44
4) -13,44 + 2,04 = -( 13.44 - 2.04 ) = -11,4
1) -9,18 / 3,4 = -2,7
2) -2,7 - 3,7 = -( 2.7 + 3.7 ) = -6,4
3) -6,4 * 2,1 = -13,44
4) -13,44 + 2,04 = -( 13.44 - 2.04 ) = -11,4
Вас заинтересует
2 года назад
2 года назад
2 года назад
2 года назад
7 лет назад
7 лет назад
9 лет назад