• Предмет: Алгебра
  • Автор: Аноним
  • Вопрос задан 11 лет назад

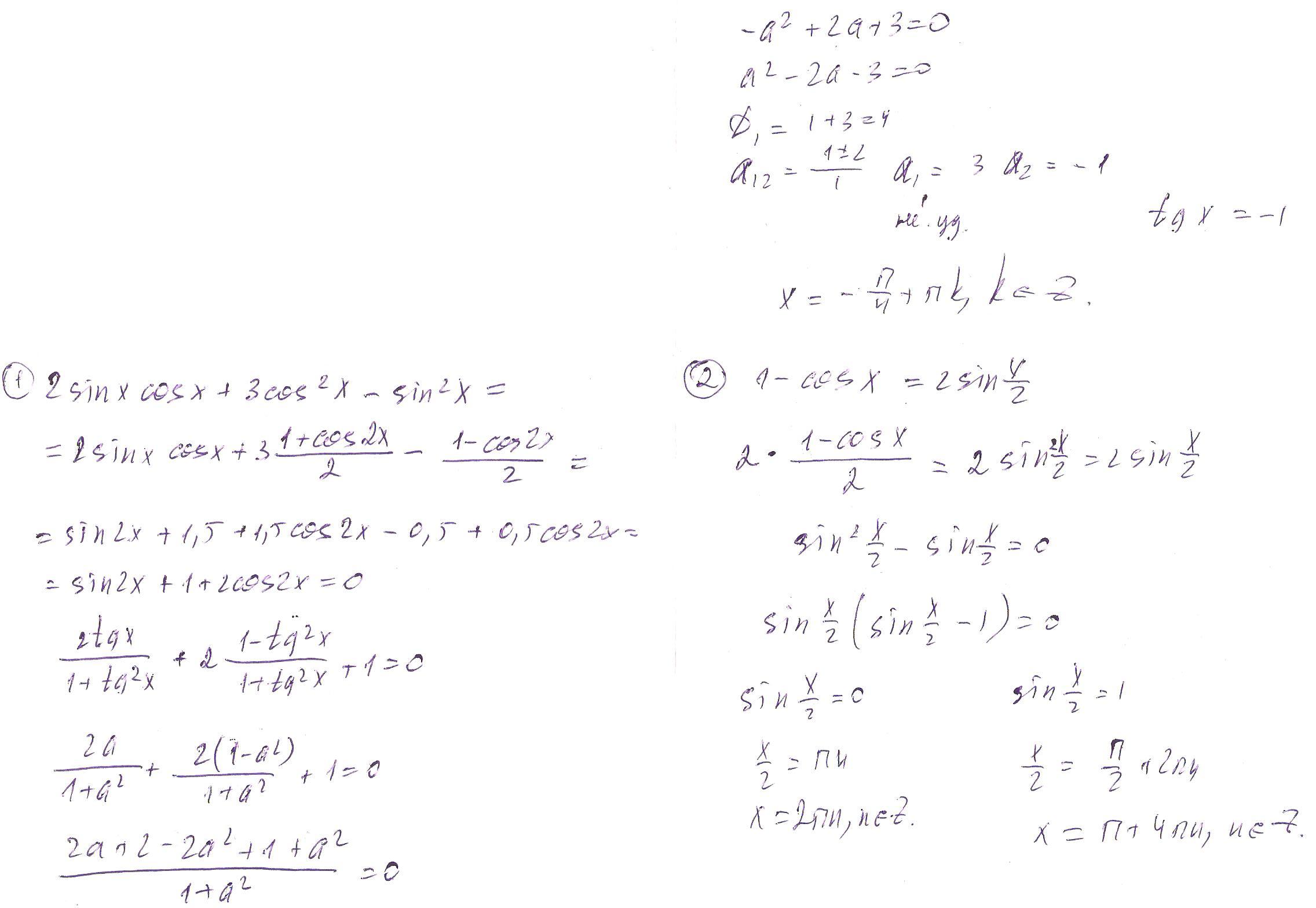
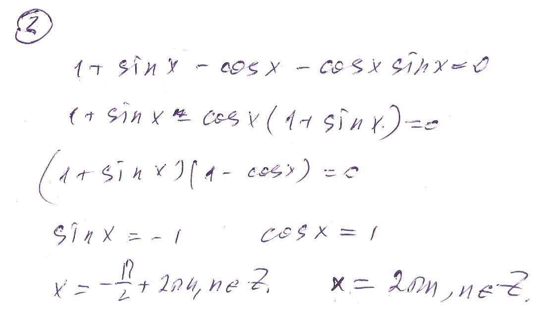
Розвязати рівняня
1)2 sin х * cos х+3сos^2х-sin^2x
2)1-cos x=2sin x
                          ---
                           2
3)1+sinx-cosx-cosx*sinx

Ответы

Ответ дал: Artem112
0

надеюсь будет понятно....

Приложения:
Вас заинтересует