Значение первообразной F(x) функции f(x)=11x+5 в точке 0 равно 6. Найдите F(-3).
можно ли решить задание не используя интегралы. объясните подробно , пожалуйста
Ответы
Ответ дал:
5
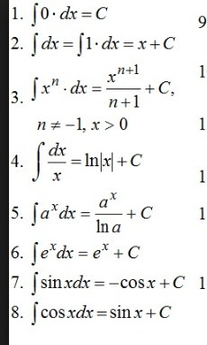
По таблице первообразных:
и проходит через точку (0;6). То есть, подставим координаты точки, имеем
Значение искомой первообразной в точке х=-3
Ответ: 40,5.
Приложения:

Вас заинтересует
1 год назад
1 год назад
2 года назад
2 года назад
7 лет назад
7 лет назад
8 лет назад