Ответы
Ответ дал:
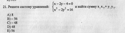
1
x = 2y + 4;
(2y + 4)^2- 2y^2 - 16 = 0 *
* 4y^2 + 16y + 16 - 2y^2 - 16 = 0
2y^2 + 16y = 0
y^2 + 8y = 0
y (y + 8) = 0
y1 = 0
y2 = - 8
x1 = 2y1 + 4 = 2*0 + 4 = 4;
x2 = 2y2 + 4 = 2*(-8) + 4 = - 16 + 4 = - 12
Ответ:
x1 * x2 + y1*y2 = 4*(-12) - 8*0 = - 48
(2y + 4)^2- 2y^2 - 16 = 0 *
* 4y^2 + 16y + 16 - 2y^2 - 16 = 0
2y^2 + 16y = 0
y^2 + 8y = 0
y (y + 8) = 0
y1 = 0
y2 = - 8
x1 = 2y1 + 4 = 2*0 + 4 = 4;
x2 = 2y2 + 4 = 2*(-8) + 4 = - 16 + 4 = - 12
Ответ:
x1 * x2 + y1*y2 = 4*(-12) - 8*0 = - 48
Вас заинтересует
2 года назад
2 года назад
7 лет назад
9 лет назад