• Предмет: Алгебра
  • Автор: Иагубова1
  • Вопрос задан 2 года назад

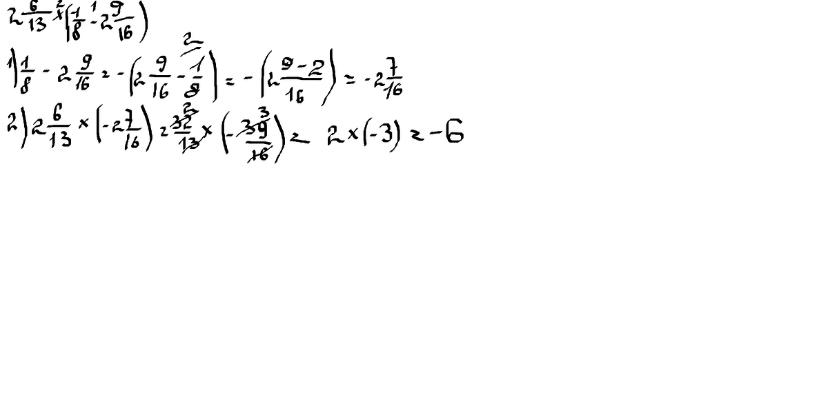
решите пожалуйста ( желательно показать как решили но главное ответ )

Приложения:

Ответы

Ответ дал: Аля2366
1
.....................................................
Приложения:
Вас заинтересует