Ответы
Ответ дал:
2
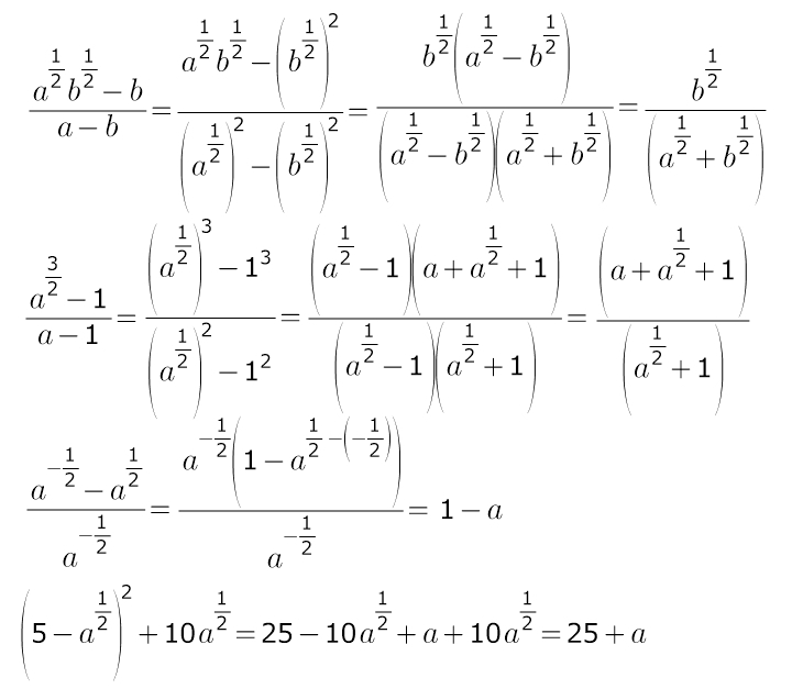
1) В числителе общий множитель, в знаменателе разность квадратов

2) В числителе разность кубов, в знаменателе разность квадратов

3) Домножаем числитель и знаменатель одновременно на

4) Раскрываем квадрат разности

5) В 1 дроби в числителе разность квадратов, в знаменателе выносим общий множитель.
Во 2 дроби в числителе выносим общий множитель.




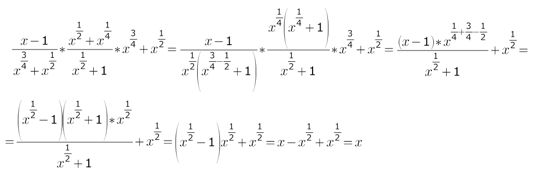
2) В числителе разность кубов, в знаменателе разность квадратов
3) Домножаем числитель и знаменатель одновременно на
4) Раскрываем квадрат разности
5) В 1 дроби в числителе разность квадратов, в знаменателе выносим общий множитель.
Во 2 дроби в числителе выносим общий множитель.
servicepack21:
Спасибо
Ответ дал:
2
использованы формулы:
разность квадратов, разность кубов, квадрат двучлена))
за скобки удобнее выносить общий множитель с меньшим показателем степени...
разность квадратов, разность кубов, квадрат двучлена))
за скобки удобнее выносить общий множитель с меньшим показателем степени...
Приложения:
Спасибо
Вас заинтересует
2 года назад
2 года назад
2 года назад
2 года назад
7 лет назад
9 лет назад