• Предмет: Математика
  • Автор: hodina76
  • Вопрос задан 2 года назад

помогите оченььь прошууууууу

Приложения:

Ответы

Ответ дал: ryazanova1952
1
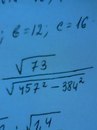
√73:√(457^2 - 384^2) = √73:√(208849-147456)= √73:√61393=
√73:(√73*√841)= 1/√841 = 1/29
Вас заинтересует