• Предмет: Алгебра
  • Автор: lenok981
  • Вопрос задан 2 года назад

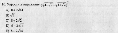
Упростите выражение

Приложения:

Ответы

Ответ дал: TARTILLO
0
(√(4-√2)+√(4+√2))²=(4-√2+2√[(4-√x)(4+√2)]+4+√2=8+2√(16-2)=8+2√14
ответ № А

Вас заинтересует