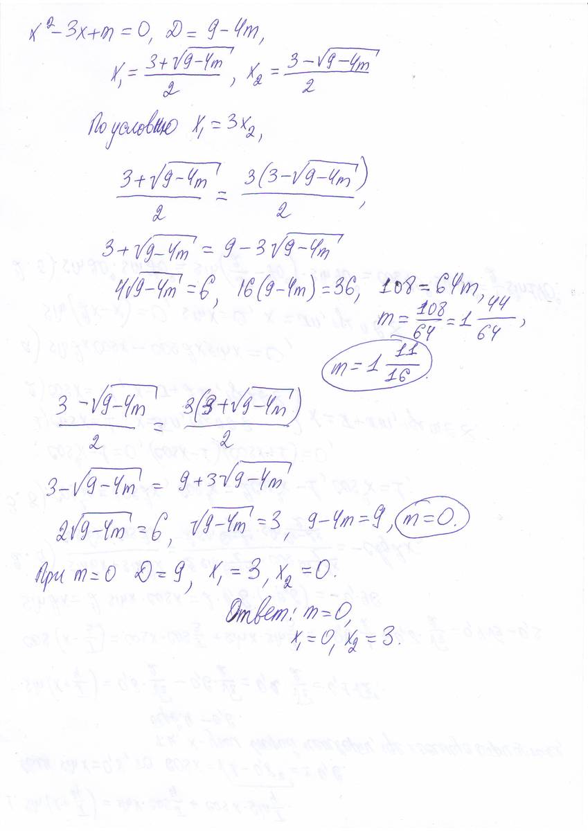
корни х1 и х2 уравнения х2-3х+m=0 удовлетворяют условию x1=3x2 Найдите значение m и корни уравнения
Ответы
Ответ дал:
0
Приветствую!
Решение задания прикладываю.
Остались вопросы - задавайте в личку.
Приложения:

Ответ дал:
0
по теореме Виета и согласно условию
Приложения:

Вас заинтересует
2 года назад
8 лет назад
10 лет назад
10 лет назад
10 лет назад