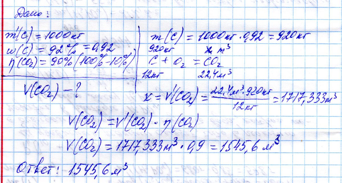
Обчисліть об’єм карбон(II) оксиду за н. у., що утвориться в газогенераторі з вугілля масою 1 т, якщо масова частка Карбону у вугіллі становить 92 %, а виробничі втрати дорівнюють 10 %
Ответы
Ответ дал:
9
Розв'язування цієї задачи див. у додатку
Приложения:

Вас заинтересует
1 год назад
1 год назад
7 лет назад
7 лет назад
8 лет назад