Ответы
Ответ дал:
0
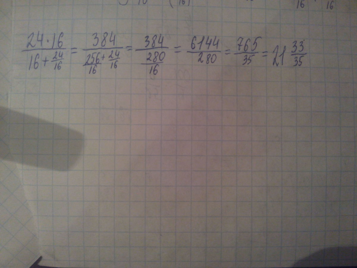
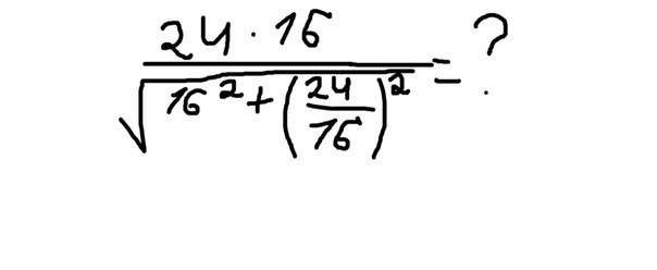
так вроде решается этот пример
Приложения:

whack98:
также получилось
Вас заинтересует
1 год назад
1 год назад
2 года назад
2 года назад
7 лет назад
7 лет назад
8 лет назад