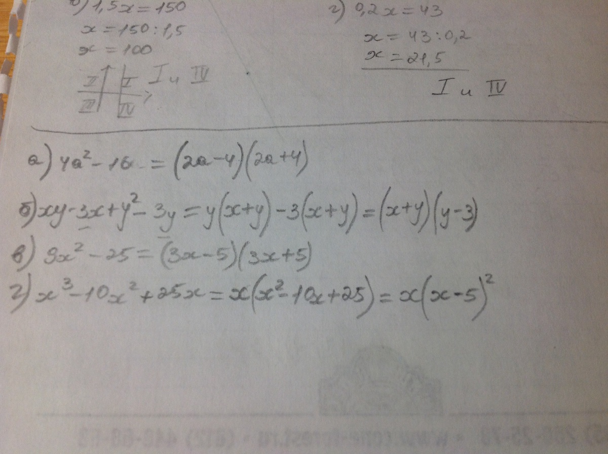
Разложите многочлен на множители:
а)4a во второй степени -16a
б)xy-3x+y во второй степени -3y
в)9x во второй степени -25
г)x в кубе-10x во второй степени+25x
Ответы
Ответ дал:
1
Вот,держи,все на фото,надеюсь понятно написанно))
Приложения:

Вас заинтересует
1 год назад
1 год назад
2 года назад
2 года назад
7 лет назад
7 лет назад
8 лет назад