• Предмет: Алгебра
  • Автор: barcaleyla
  • Вопрос задан 2 года назад

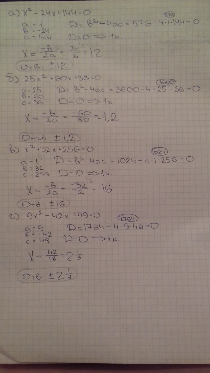
решите уравнение : а)x^2-24x+144=0 б)25x^2+60x+36=0 в)x^2+32x+256=0 г)9x^2-42x+49=0


TimeLordInTheTARDIS: через пару минут кину ответ, ожидайте)

Ответы

Ответ дал: TimeLordInTheTARDIS
3
вот, должно быть так, по идее :D
Приложения:

TimeLordInTheTARDIS: если не трудно, пожалуйста, отметь мой ответ как лучший)
Вас заинтересует