Решите уравнения плизззззззззззз!!)))))))))))
х-1.3(в модуле)*(5х+2.5)=0
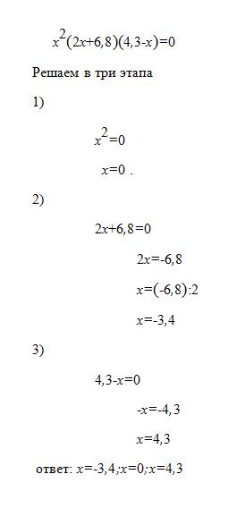
х(в квадрате)*(2х+6.8)(4.3-х)=0
и ещё :упростите выражение)))))))))))))
2х-2(целых)1/6+1(целая)5/12+x-1/9
если решите только упрощение выражения тоже большое спасибо!!!!!!!!!!!!!!!!!!!
Ответы
Ответ дал:
0
=============================================================
Приложения:


Вас заинтересует
2 года назад
2 года назад
8 лет назад
8 лет назад
10 лет назад
10 лет назад
10 лет назад
10 лет назад