• Предмет: Математика
  • Автор: Likka16
  • Вопрос задан 2 года назад

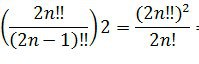
Как получился знаменатель после равно?

Приложения:

Ответы

Ответ дал: нот4
0
мой совет подставляй числа к примеру 8= 16/2 следовательно 2=16/8
Вас заинтересует