• Предмет: Алгебра
  • Автор: Аноним
  • Вопрос задан 10 лет назад

Очень нужно, пожалуйста

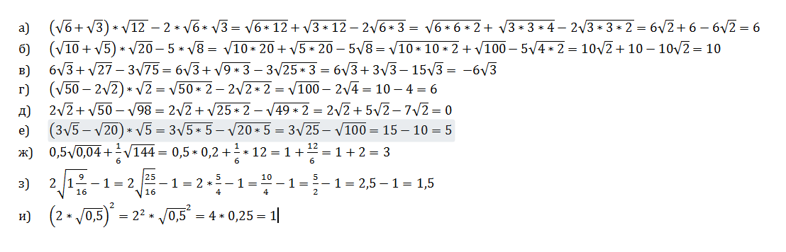
Приложения:

Ответы

Ответ дал: Аля2366
0
...........ФАЙЛ......................
Приложения:
Вас заинтересует