• Предмет: Физика
  • Автор: MillerLena
  • Вопрос задан 11 лет назад

Пожалуйста, помогите мне решить это.

Приложения:

Ответы

Ответ дал: vanjka
0

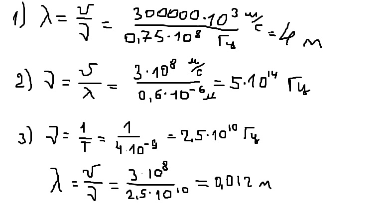
1) 4м
2) 5*10^14 Гц
3) 0.012 м
решение в вложении 

Приложения:
Вас заинтересует