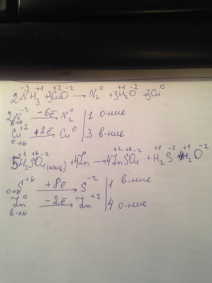
методом электроного баланса расставьте коэффициент в схемах окислительно - восстановительных реакций: NH3+CuO>N2+H2O+Cu и еще один H2SO4(конц)+Zn>ZnSO4+H2S+H2O
Ответы
Ответ дал:
0
Вроде так..))))))))))
Приложения:

Ответ дал:
0
огромное спасибо
Ответ дал:
0
Не за что)
Вас заинтересует
2 года назад
2 года назад
7 лет назад
7 лет назад
10 лет назад
10 лет назад
10 лет назад