• Предмет: Математика
  • Автор: Нази45
  • Вопрос задан 10 лет назад

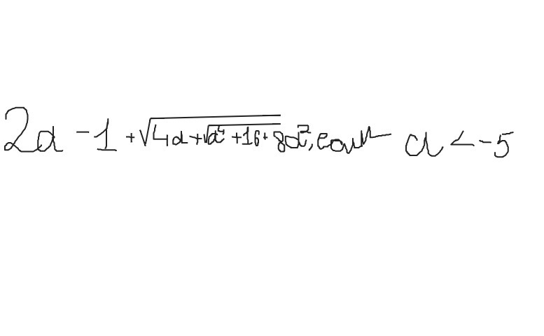
упростите выражение

Приложения:

Ответы

Ответ дал: 8286505
0
2а-1+√4а+√(а²+4)²=2а-1+√4а+а²+4=2а-1+√(а+2)²=2а-1+а+2=3а+1
Вас заинтересует