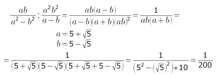
Найдите значение выражения ((a*b)/(a^2-b^2))/((a^2*b^2)/(a-b)) если ,a=5+sqrt(5), b=5-sqrt(5). Ответ 1/200 (0.005)
Нужно решение
Ответы
Ответ дал:
0
сначала упростить...
потом применить формулу "разность квадратов"))
потом применить формулу "разность квадратов"))
Приложения:
Вас заинтересует
3 года назад
3 года назад
8 лет назад
10 лет назад
10 лет назад
11 лет назад