Ответы
Ответ дал:
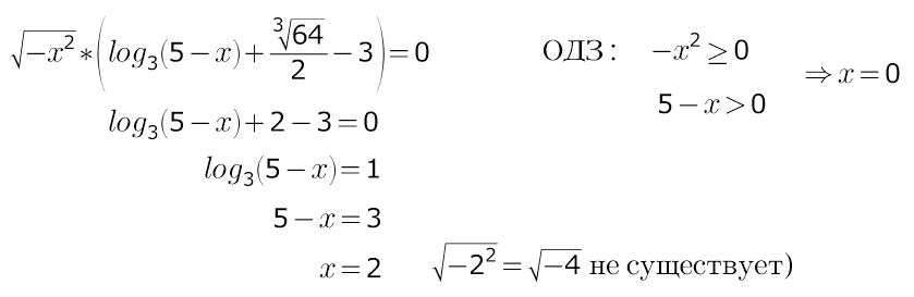
0
корень единственный: х = 0
это следует еще из ОДЗ, про логарифм можно и не решать)))
это следует еще из ОДЗ, про логарифм можно и не решать)))
Приложения:

Вас заинтересует
2 года назад
2 года назад
7 лет назад
7 лет назад
9 лет назад
9 лет назад