Ответы
Ответ дал:
0
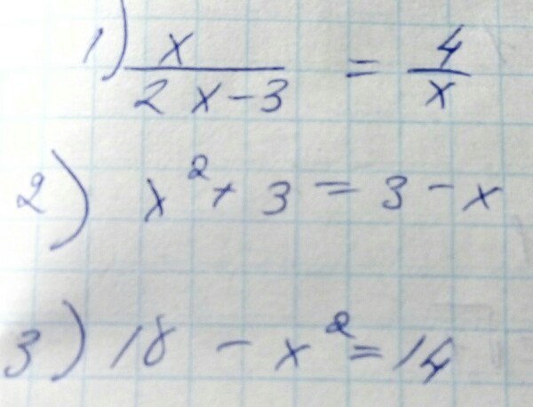
1) 




2)


3)



2)
3)
Ответ дал:
0
Я уже сказал вам про шрифт. Третье - квадратное, просто решать его по-другому надо
Ответ дал:
0
Да нет. Я про другое. Посмотрите на мое решение и на ваше. Вы наверное писали через какую-то другую программу?
Ответ дал:
0
Ещё раз говорю, если писать ответ с компьютера, там внизу будет кнопка "вставить формулу"
Ответ дал:
0
и там если написать в окне 2 и вставить, в итоге оно будет таким шрифтом
Ответ дал:
0
Спасибо
Ответ дал:
0
1).х*х=4(2х-3)
Х2=8х-12
Х2-8х+12=0
D=64-4*12=64-48=16=(4)2
Х1=(8-4)/2=4:2=2
Х2=(8+4)/2=12:2=6
Ответ: 2; 6.
2).х2+3-3+х=0
Х2+х=0
Х(х+1)=0
Х=0 и х=-1
Ответ: -1; 0.
3).-х2=-4
Х2=4
Х=2 и х=-2
Ответ: -2; 2.
Ответ дал:
0
Можно кнопочку спасибо нажать, а можно и лучший ответ дать)))))))))))))))))))))
Ответ дал:
0
Откуда 3 уравнение взяли?
Ответ дал:
0
Там получается: -х2=14-18 --------->-х2=-4 и далее.....
Ответ дал:
0
А мне даже никто спасибо не сказал......((
Вас заинтересует
3 года назад
3 года назад
8 лет назад
10 лет назад
11 лет назад