• Предмет: Математика
  • Автор: zavraginaa
  • Вопрос задан 10 лет назад

Не понимаю эти пределы
помогите пожалуйста

Приложения:

Ответы

Ответ дал: JhonnyM
0
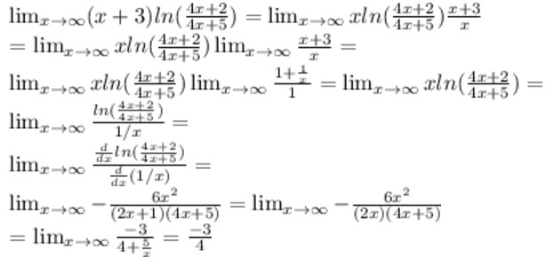
lim_{x to infty} (x+3)ln( frac{4x+2}{4x+5} )= lim_{x to infty} xln( frac{4x+2}{4x+5} ) frac{x+3}{x}

= lim_{x to infty} xln( frac{4x+2}{4x+5} ) lim_{x to infty}  frac{x+3}{x} =

lim_{x to infty} xln( frac{4x+2}{4x+5} ) lim_{x to infty}  frac{1+ frac{1}{x} }{1}=lim_{x to infty} xln( frac{4x+2}{4x+5} )= lim_{x to infty}  frac{ln( frac{4x+2}{4x+5} )}{1/x} =

lim_{x to infty}  frac{ frac{d}{dx} ln( frac{4x+2}{4x+5} )}{ frac{d}{dx} (1/x)}=

 lim_{x to infty} - frac{6x^2}{(2x+1)(4x+5)} = lim_{x to infty} - frac{6x^2}{(2x)(4x+5)} 

= lim_{x to infty}  frac{-3}{4+ frac{5}{x} } = frac{-3}{4}
Приложения:
Ответ дал: zavraginaa
0
А что значит "frac"?
Ответ дал: JhonnyM
0
Сайт у вас неверно отображает содержимое, кину картинкой сейчас.
Ответ дал: zavraginaa
0
Буду благодарна
Ответ дал: zavraginaa
0
Спасибо Вам большое)
Ответ дал: JhonnyM
0
Прикрепил к решению
Вас заинтересует