Ответы
Ответ дал:
0
1.
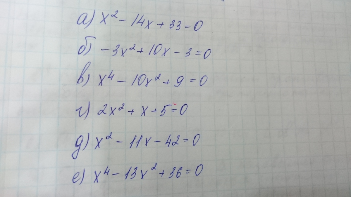
x^2-14x+33=0
D=(-14)^2-4*1*33=196-132=64
x1=14+√64=14+8=222=11
2 2
x1=14-√64=14-8=62=3
2 2
Ответ:
2.
-3x^2+10x-3=0 |*(-1)
3x^2-10x+3x=0
D=(-10)^2-4*3*3=100-36=64
x1=10+√64=10+8=186=3
2*3 6
x2=10-√64=10-8=26=13
2*3 6
Ответ:
3.
x^4-10x^2+9=0
пусть x^2=y
y^2-10y+9=0
D=(-10)^2-4*1*9=100-36=64
y1=10+√64=10+8=182=9
2 2
y2=10-√64=10-8=22=1
2 2
x^2=9 x^2=1
x1=3 x2=1
Ответ:
4.
2x^2+x+5=0
D=1^2-4*2*5=1-40=-39 D<0 - корней нет
5.
x^2-11x-42=0
D=(-11)^2-4*1*(-42)=121+168=289
x1=11+√289=11+17=282=14
2 2
x2=11-√289=11-17=-62=-3
2 2
Ответ:
6.
x^4-13x^2+36=0
пусть x^2=a
a^2-13a+36=0
D=(-13)^2-4*1*36=169-144=25
a1=13+√25=13+5=182=9
2 2
a2=13-√25=13-5=82=4
2 2
x^2=9 x^2=4
x1=3 x2=2
Ответ:
x^2-14x+33=0
D=(-14)^2-4*1*33=196-132=64
x1=14+√64=14+8=222=11
2 2
x1=14-√64=14-8=62=3
2 2
Ответ:
2.
-3x^2+10x-3=0 |*(-1)
3x^2-10x+3x=0
D=(-10)^2-4*3*3=100-36=64
x1=10+√64=10+8=186=3
2*3 6
x2=10-√64=10-8=26=13
2*3 6
Ответ:
3.
x^4-10x^2+9=0
пусть x^2=y
y^2-10y+9=0
D=(-10)^2-4*1*9=100-36=64
y1=10+√64=10+8=182=9
2 2
y2=10-√64=10-8=22=1
2 2
x^2=9 x^2=1
x1=3 x2=1
Ответ:
4.
2x^2+x+5=0
D=1^2-4*2*5=1-40=-39 D<0 - корней нет
5.
x^2-11x-42=0
D=(-11)^2-4*1*(-42)=121+168=289
x1=11+√289=11+17=282=14
2 2
x2=11-√289=11-17=-62=-3
2 2
Ответ:
6.
x^4-13x^2+36=0
пусть x^2=a
a^2-13a+36=0
D=(-13)^2-4*1*36=169-144=25
a1=13+√25=13+5=182=9
2 2
a2=13-√25=13-5=82=4
2 2
x^2=9 x^2=4
x1=3 x2=2
Ответ:
Вас заинтересует
3 года назад
3 года назад
8 лет назад
8 лет назад
10 лет назад
10 лет назад
10 лет назад