• Предмет: Математика
  • Автор: chinemarkt174
  • Вопрос задан 10 лет назад

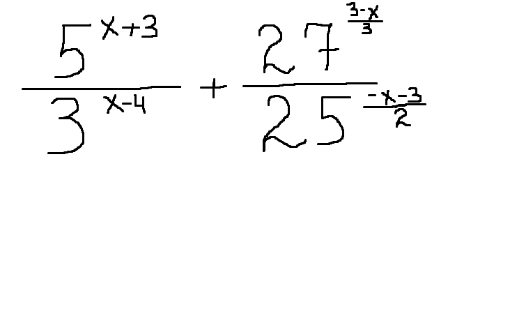
Решить используя свойства степеней

Приложения:

Ответы

Ответ дал: ЛенаФагимовна
0
(5/3)^(x+3-x+4) + (3/5)^(3-x+x+3)=(5/3)^7 + (3/5)^6
Вас заинтересует