Ответы
Ответ дал:
0
знаю только б..........
Приложения:

Ответ дал:
0
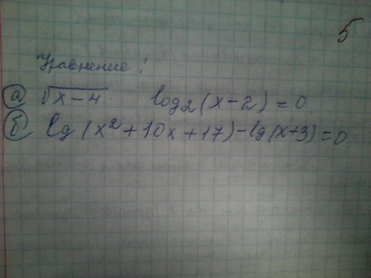
√(x-4) *log(2) (x-2) =0 ( ОДЗ x>2)
1) √(x-4) =0
x-4 =0 x1=4
2) log(2) (x-2)=0
x-2 =2^0
x-2 =1
x2=3 ответ: 3; 4
2) lg(x²+10x+17) - lg(x+3) = 0
lg(x² +10x +17) = lg(x+3)
x²+10x +17 =x+3
x² +9x +14 =0
D =81-56 =25 √D=+-5
x1=(-9-5)/2= - 7
x2=(-9+5)/2 =- 2
ОДЗ: x+3>0 ----> x>-3
x²+10x+17>0 ---> ( x<-5-2√2) ∪ (x>-5+2√2) ---|-------|-------|-------|-\\\\||\\>
-5-2√2 -7 - 3 -5+2√2 -2 x
Ответ: один корень x 1= -2 удов. ОДЗ
1) √(x-4) =0
x-4 =0 x1=4
2) log(2) (x-2)=0
x-2 =2^0
x-2 =1
x2=3 ответ: 3; 4
2) lg(x²+10x+17) - lg(x+3) = 0
lg(x² +10x +17) = lg(x+3)
x²+10x +17 =x+3
x² +9x +14 =0
D =81-56 =25 √D=+-5
x1=(-9-5)/2= - 7
x2=(-9+5)/2 =- 2
ОДЗ: x+3>0 ----> x>-3
x²+10x+17>0 ---> ( x<-5-2√2) ∪ (x>-5+2√2) ---|-------|-------|-------|-\\\\||\\>
-5-2√2 -7 - 3 -5+2√2 -2 x
Ответ: один корень x 1= -2 удов. ОДЗ
Приложения:

Ответ дал:
0
2) x^2 +10x +17 >0
Вас заинтересует
2 года назад
7 лет назад
9 лет назад
10 лет назад