• Предмет: Алгебра
  • Автор: 10111998
  • Вопрос задан 11 лет назад

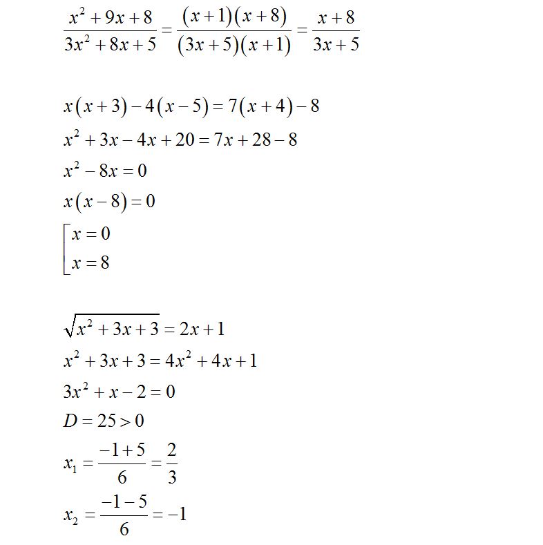
решите домашку плиз №1,2,6,10.

Приложения:

Ответы

Ответ дал: Аноним
0

№1,2,10

===============================

Приложения:
Ответ дал: katyasapar
0

№2   x²+9x+8/3x²+8x+5=(x+1)(x+8)/(x+1)(x+0.6)-cjrhfoftv (x+1)=x+8/x+0.6

 

 

 

ищем дискрименанты первого и второго выражения

 x²+9x+8=0

D=81-4*1*8=81-32=49

x1=-9+√49/2*1=-9+7/2=-1

x2=-9-7/2=-16/2=-8

 

3x²+8x+5=0

D=64-4*3*5=64-60=4

x1=-8+√4/2*3=-6/6=-1

x2=-8+2/6=-10/6=-0.6

подставляем в пример^

Приложения:
Вас заинтересует