Ответы
Ответ дал:
0
....................
Приложения:

Ответ дал:
0
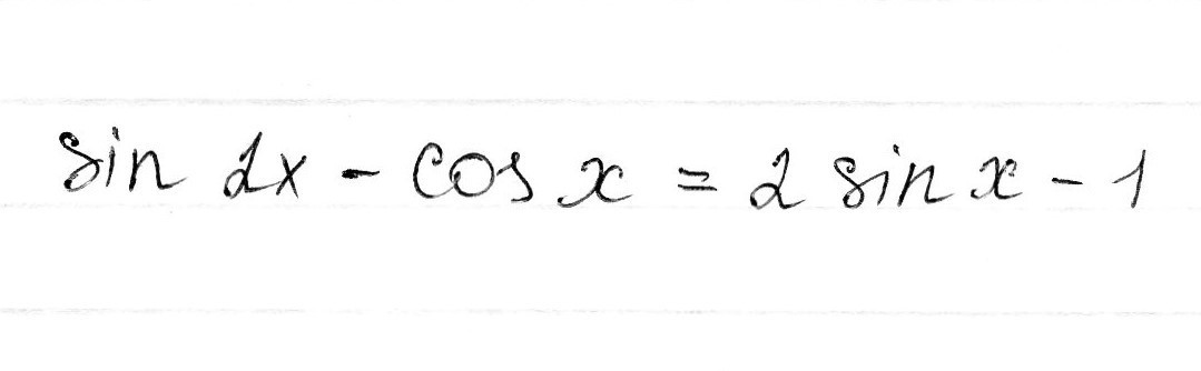
Формула двойного угла для синуса;
2sinx cosx-cosx = 2sinx-1,
cosx(2sinx-1)-(2sinx-1) =0
(2sinx-1)(cosx-1) =0
sinx = 1/2 или cosx =1
x=(-1)^n*pi/6 + pi*n, n∈Z, x = 2*pi*n, n∈Z.
2sinx cosx-cosx = 2sinx-1,
cosx(2sinx-1)-(2sinx-1) =0
(2sinx-1)(cosx-1) =0
sinx = 1/2 или cosx =1
x=(-1)^n*pi/6 + pi*n, n∈Z, x = 2*pi*n, n∈Z.
Приложения:

Вас заинтересует
7 лет назад
10 лет назад
10 лет назад
10 лет назад