• Предмет: Алгебра
  • Автор: Аноним
  • Вопрос задан 10 лет назад

Найдите значения выражения

Приложения:

Ответы

Ответ дал: krugly1981
0
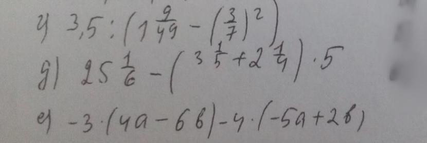
Решение на фото)))))))))))))))))))
Приложения:
Вас заинтересует